1. ما هو تداول الشبكة الفورية؟
تداول الشبكة الفورية هو استراتيجية تداول تعتمد على البيع بسعر مرتفع والشراء بسعر منخفض، وهي مناسبة للأسواق المتقلبة. من خلال تحديد نطاق السعر وعدد الشبكات وما إلى ذلك، يتم تقسيم الأموال إلى شبكات متعددة تُستخدم لشراء الأصل عندما ينخفض
سعر العملة الأساسية، وبيعها عندما يرتفع السعر، شبكةً بعد أخرى. تحقق هذه الاستراتيجية الربح من خلال التكرار المستمر لعمليات البيع المرتفع والشراء المنخفض.
2. ما هي ظروف السوق المناسبة لاستراتيجيات تداول الشبكة الفورية؟
تُناسب استراتيجيات الشبكة الفورية الأسواق المتقلبة، حيث يمكنها تحقيق الأرباح من خلال عمليات البيع بسعر مرتفع والشراء بسعر منخفض بشكل متكرر.
3. ما هي أزواج التداول المناسبة لاستراتيجيات الشبكة الفورية؟
إذا كنت مبتدئًا في تداول العملات الرقمية، فننصحك بالبدء بأزواج التداول الرئيسية ذات السيولة العالية مثل BTC/USDT وETH/USDT. أما إذا كنت تمتلك معرفة جيدة بتداول الشبكة الفورية، يمكنك تجربة أزواج التداول ذات التقلبات الكبيرة لتحقيق أرباح أعلى.
4. هل يمكنني تعيين وقف الخسارة في تداول الشبكة الفورية؟
نعم، يمكنك تعيين سعر وقف الخسارة في إعدادات الشبكة لحماية أصولك. عند انخفاض سعر الأصل المتداول إلى ما دون سعر وقف الخسارة، ستقوم الاستراتيجية تلقائيًا ببيع الأصل الأساسي لك.
5. هل من الممكن أن تتجاوز رسوم التداول إجمالي أرباح الشبكة؟
لا. تضمن استراتيجيات الشبكة الفورية عدم تنفيذ الأوامر إلا عندما يكون ربح الشبكة أكبر من رسوم التداول، لذا لن يحدث هذا السيناريو أبدًا.
6. أيهما أفضل: "الشبكة الذكية" أم "إعداد الشبكة يدويًا"؟
إذا كنت مبتدئًا، فمن المستحسن استخدام "الشبكة الذكية". يتم اختبار أداء الذكاء الاصطناعي للشبكة الذكية بناءً على بيانات آخر 7 أيام، ويتم تحديد أفضل معلمات الشبكة تلقائيًا، مثل: الحد العلوي للسعر، الحد السفلي للسعر، وعدد الشبكات. ما عليك سوى تحديد إجمالي الاستثمار، (على أن يكون مساويًا أو أكبر من الحد الأدنى للاستثمار). إذا كنت تتمتع بخبرة في تداول الشبكة الفورية، يمكنك اختيار "إعداد الشبكة يدويًا" وضبط المعلمات حسب احتياجاتك.
7. من أين أبدأ تداول الشبكة الفورية؟
على الويب: انقر على "البوتات - بوت بول" في شريط التنقل. انتقل إلى "إنشاء بوت" - "موصى به - شبكة فورية" - "إنشاء بوت". اختر زوج التداول وحدد "تلقائي" أو "تخصيص".


على التطبيق: انقر على "تداول" في أسفل الصفحة. انتقل إلى "البوتات" > "شبكة فورية".
8. المعلمات في إعدادات الشبكة
تعبئة بيانات الذكاء الاصطناعي:
يتم الحصول على المعلمات المحسوبة بواسطة الذكاء الاصطناعي وملؤها تلقائيًا.
الحد الأدنى للسعر:
هو أدنى سعر للشراء، وإذا كان السعر السوقي أقل منه، فلن يتم تنفيذ أوامر الشراء.
الحد الأعلى للسعر:
هو أقصى سعر للبيع، وإذا كان السعر السوقي أعلى منه، فلن يتم تنفيذ أوامر البيع.
عدد الشبكات:
عدد الشبكات القابلة للتنفيذ، ويجب أن يتراوح بين 2 إلى 1000.
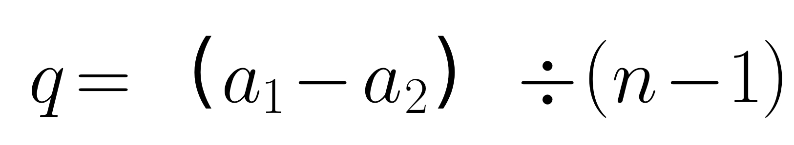
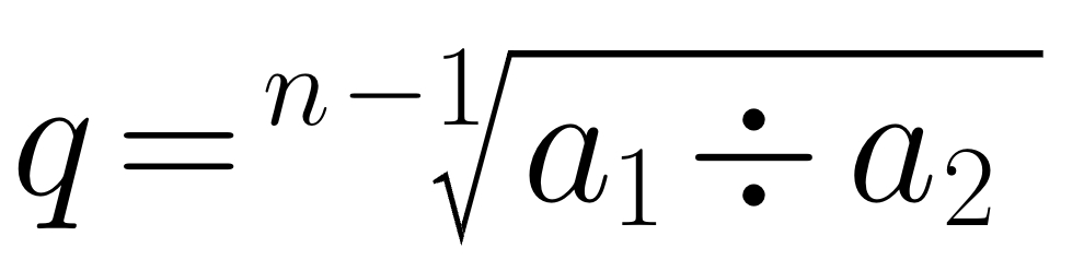
الفارق المشترك:
إذا كان الفارق المشترك q، والحد الأعلى للسعر a1، والحد الأدنى للسعر a2، وعدد الشبكات n، فإن الحسابات تكون كما يلي:
حسابي:

هندسي:

(ملاحظة: عند حساب الأسعار، يكون الفارق المشترك هو 1+q)
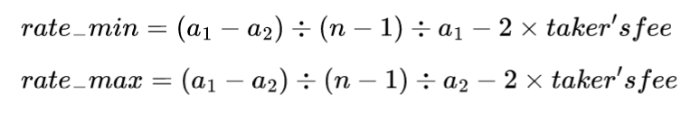
معدل العائد لكل شبكة:
إذا كان الفارق المشترك q، والحد الأعلى للسعر a1، والحد الأدنى للسعر a2، وعدد الشبكات n، فإن الحسابات تكون كما يلي:
حسابي:

هندسي:

كمية الشراء/البيع لكل شبكة:
هي كمية العملة الأساسية في كل شبكة تداول.
زيادة الكمية:
تكون معطلة افتراضيًا. عند تمكينها، يمكنك اختيار زيادة الكمية لكل شبكة "بمقدار معين" أو "بشكل نسبي".

مثال:
إذا كانت الكمية الأساسية للشبكة 1 BTC، وكان معدل الزيادة 2، فإن الشبكات ستعمل كالتالي:
الشبكة الأولى: 1 BTCالشبكة الثانية: 1 + 2 = 3 BTCالشبكة الثالثة: 1 + 2 + 2 = 5 BTC... وهكذا.
سعر وقف الخسارة:
عند وصول السعر السوقي إلى هذا الحد أو أقل، سيتم تنفيذ وقف الخسارة تلقائيًا. يجب أن يكون سعر وقف الخسارة أقل من الحد الأدنى للسعر.
سعر جني الأرباح:
عند وصول السعر السوقي إلى هذا الحد أو أعلى، سيتم تنفيذ جني الأرباح تلقائيًا. يجب أن يكون سعر جني الأرباح أعلى من الحد الأعلى للسعر.
سعر تفعيل الاستراتيجية:
تبدأ الاستراتيجية فقط عندما يكون السعر السوقي أقل من أو يساوي سعر التفعيل. عند ضبط الاستراتيجية، يجب أن يكون سعر التفعيل أقل من السعر السوقي الحالي وأن يكون ضمن نطاق سعر الشبكات.
خيارات التسوية (اختياري):
بيع (العملة الأساسية) عند الإنهاء": عند التمكين، سيتم بيع رصيدك وتحويله إلى USDT عند انتهاء الاستراتيجية.
وضع HODL : عند التمكين، سيتم تحويل الأرباح إلى العملة الأساسية تلقائيًا.
ملاحظة: يمكن تفعيل "بيع (العملة الأساسية) عند الإنهاء" و"وضع HODL" معًا.
Gate تحتفظ بالحق النهائي في تفسير هذا المنتج.
