Q:What is Gate Spot Grid Trading?
A: The Spot Grid Bot is an automated trading strategy designed for volatile markets, enabling you to buy low and sell high. It works for short, medium, and long-term trading. You simply set parameters like the price range and the number of grids, and the bot will start working. Once activated, it divides your funds into several portions, buying incrementally as prices drop and selling incrementally as prices rise. This way, the bot takes advantage of market fluctuations to continually capture profit.
Q:Who is Spot Grid Trading designed for?
A:Spot Grid Trading is designed for traders who expect a cryptocurrency to experience an upward trend and some volatility. If you foresee such market conditions, Spot Grid Trading could be a beneficial approach.
Gate provides two options: AI Smart Grid Trading for automatic parameter setting, ideal for beginners, and Manual Configuration Grid Trading for those with trading experience who prefer to set their own parameters.
Q:What market conditions are ideal for Spot Grid Trading?
A:Spot Grid Trading is most effective in volatile markets with an upward trend.
Q: How to Calculate Grid Spacing and Grid Profit in Spot Grid Trading?
A: Grid Spacing Calculation Formula
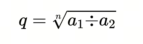
Assume the grid spacing is ( q ), the upper grid price limit is ( a1 ), the lower grid price limit is ( a2 ), and the number of grids is ( n ).
For arithmetic grid spacing ( q ), the calculation formula is:
For geometric grid spacing, the actual floating ratio is:
** Grid Profit Formula**
Grid profit per unit is calculated as: [ Grid Profit = (Price Difference per Grid)✖️ (Quantity Bought per Grid) ✖️ (Number of Completed Sell Orders) ]
Grid Spacing
Taking the arithmetic grid as an example:
For arithmetic grid spacing ( q ), the calculation formula is:
For example, in a GT/USDT grid trading scenario, if the lower grid limit is set at 30 USDT, the upper grid limit at 150 USDT, and the number of grids at 3, the grid spacing can be calculated as: [ Grid Spacing = (150-30) / 3 =40 ] The order prices would be 30 USDT, 70 USDT, 110 USDT, and 150 USDT, resulting in a total of 4 levels.
Note that grid spacing affects the number of trades in the strategy.
Smaller grid spacing means higher grid density, leading to more frequent trades but lower profit per grid. Conversely, larger grid spacing means lower grid density, resulting in fewer trades but higher profit per grid.
Grid Profit
Grid Profit = (Price Difference per Grid)✖️ (Quantity Bought per Grid) ✖️ (Number of Completed Sell Orders)
In this formula, the price difference per grid is not a constant value. Important parameters affecting the price difference per grid include the "price range," "number of grids," and "entry price."
The price difference per grid is calculated as: [ Price Difference per Grid = Sell Price (current order) - Buy Price (previous order) ]. Essentially, the first sell in each grid matches the entry price, while subsequent sells match the buy price of the previous order. Therefore, the price difference between the first and second sell orders in a grid can vary significantly.
For example, in the GT/USDT trading pair, with an entry price of 30 USDT, a grid spacing of 10 USDT, and a quantity of 1 per grid. Assuming the price continuously rises to 280 USDT without fluctuation, the sell orders for each grid would be at 30 USDT, 40 USDT, 50 USDT, ..., up to 280 USDT.
When the GT/USDT price first rises to 250 USDT, the first sell matches the entry price of 30 USDT, resulting in a price difference of: [ 250 USDT - 30 USDT = 220 USDT ]
If the GT/USDT price then falls to 240 USDT and rises back to 250 USDT, the second sell matches the previous order's price of 240 USDT, not the entry price, resulting in a price difference of: [ 250 USDT - 240 USDT = 10 USDT ]
If the GT/USDT price continues to rise to 280 USDT, the first sell at this grid matches the entry price of 30 USDT, resulting in a price difference of: [ 280 USDT - 30 USDT = 250 USDT ]
In these three examples, the price differences for the grids are 220 USDT, 10 USDT, and 250 USDT respectively. The discrepancies in grid price differences, including a 25-fold difference between the highest and lowest, are completely normal.
Q:Which trading pairs are ideal for Spot Grid Trading?
A: For newcomers, it’s wise to select mainstream coins that have strong market consensus and high liquidity. You can check the top 100 digital assets on CMC and their trading behavior on Gate. If you are well-versed in Spot Grid Trading, you might want to explore trading pairs with higher volatility to achieve higher returns.
Q:Can I set take profit and stop loss in Spot Grid Trading?
A:Yes, you can. You can set the desired target prices for take profit and stop loss when you configure your grid strategy. The smart system will automatically execute the necessary trades to achieve these goals.
Q:Does a denser grid mean easier profits?
A: Not necessarily. Grid profit is calculated as ( Grid Profit = (Price Difference per Grid)✖️ (Quantity Bought per Grid) ✖️ (Number of Completed Sell Orders). The density of the grid affects how frequently trades are executed. Too many grids may result in too many active trades, while too few grids could mean fewer trades over time. In practice, capturing small market fluctuations more effectively can lead to more completed trades.
Q:Can beginners use Spot Grid Trading? Should I use an AI Smart Grid or manually configure the grid settings?
A:Yes, Spot Grid Trading is one of the most classic trading strategies, known for its simplicity and ease of understanding, making it ideal for beginners. If you're new to Gate Spot Grid Trading, we suggest using the AI Smart Grid. This option automatically determines the optimal grid parameters based on the highest returns from the past 7, 30, and 180 days, considering short-term, medium-term, and long-term market trends. You only need to enter your investment percentage.
Q:What is the appropriate duration for Spot Grid Trading?
A:The returns from Spot Grid Trading are subject to market conditions. Generally, shorter durations see less volatility, and longer ones experience more. We advise trying Spot Grid Trading for 1 month, considering the prevailing market conditions.
Q:Besides spot trading, what other types of trading can I use grid strategies for?
A:At Gate, in addition to spot trading, you can apply grid trading strategies to futures trading. Additionally, Gate offers smart bot strategies that include CTA signal tracking like MACD and MACD-RSI.
Gate reserves the final right to interpret the product.
For further assistance, please visit the Gate official support page or contact our customer support team.
Disclaimer
The content provided herein is for reference and educational purposes only and does not constitute any financial, investment, trading, or legal advice, nor does it constitute an offer or solicitation to buy or sell any digital assets. Gate makes no express or implied representations or warranties regarding the accuracy, completeness, or timeliness of the information contained herein. Product features, interfaces, rules, and fee structures may be updated or adjusted at any time. Please refer to the latest announcements and the actual information displayed on the Gate platform for the most accurate details.
Digital asset investments involve significant risk, and prices may fluctuate substantially. You may lose the entire amount of your investment. Please make decisions cautiously based on your own financial situation and risk tolerance after fully understanding the associated risks. If necessary, you are advised to consult an independent professional financial or legal advisor.
For more information about potential risks, please refer to Gate's Risk Disclosure and User Agreement.
